
背景
生命体征监测 (VSM) 是住院患者的常规监测,但在慢性阻塞性肺病 (COPD) 中,自由生活条件下的监测在很大程度上尚未得到检验。
目的
本研究使用可穿戴多参数技术调查了 COPD 患者连续 VSM 的可用性和可接受性。
用 Equivital LifeMonitor 测量生命体征
所有参与者都被要求连续 6 周在醒着的时候佩戴 Equivital EQ02+ LifeMonitor 设备(Equivital)(在此称为“背心”)。参与者被要求在水上活动期间脱下背心,并至少每隔一晚在一夜之间为传感器电子模块 (SEM) 充电。AECOPD 组被要求在出院后开始穿戴背心,将出院后的第二天作为穿戴的较前列天。稳定组被要求在他们的基线研究评估后(在初始 PR 评估后)穿上背心。基线访问后的第二天是佩戴的较前列天(图1)。
背心测量心率 (HR)、呼吸频率 (RR)、皮肤温度 (ST) 和身体活动 (PA) 。使用内置的三轴加速度计将 PA 分类为固定式或动态式。使用内置 ECG 电极获得 HR,使用内置扩张带记录 RR,使用 SEM 中的温度计测量 ST(15 秒纪元)。
可行性措施
可行性指标的定义和标准(图2)。依从性由背心在 6 周研究期间穿着的天数和每天的穿着时间来定义。检查丢失的数据并将其归类为电池耗尽(无法为 SEM 充电)或非磨损。
结果
·AECOPD 和稳定组的招募细节、退出原因和完成率1)AECOPD 和稳定组的 CONSORT(报告试验综合标准)流程图(图3)。AECOPD:慢性阻塞性肺疾病急性加重;COPD:慢性阻塞性肺病;DNA:没有参加;PIS:患者信息表;PR:肺康复。
2)AECOPDa和稳定组的基线特征
·HR 和 RR (A) 信号质量和 (B) 数据质量。数据显示为由第 25 个百分位(框的下端)、中位数(框的中心线)和第 75 个百分位(框的上端)组成的箱线图。每个框外的线对应于最小值和最大值。HR:心率;RR:呼吸频率。
·AECOPDa和稳定组的可行性和生命体征测量
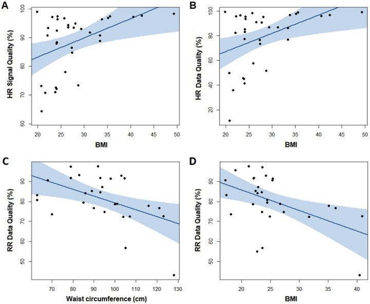
·稳定组 (n=49) 内 (A) HR 信号质量与 BMI 和 (B) HR 数据质量与 BMI 之间的关联,以及 AECOPD 组 (n=35) 内 (C) RR 数据质量与腰围之间的关联(D) RR 数据质量和 BMI。阴影区域表示 95% CI 和P值以及使用 Spearman ρ 计算的相关性。AECOPD:慢性阻塞性肺疾病急性加重;HR:心率;RR:呼吸频率。
结论
这种可穿戴多参数技术(Equivital可穿戴生理体征监测系统)显示出良好的用户接受度,并且能够测量 COPD 人群的生命体征。在因 AECOPD 住院后和症状稳定期间,可以在自由生活条件下使用多参数可穿戴技术连续测量 RR、HR、ST 和 PA。Equivital LifeMonitor 被参与者接受并产生了足够质量的数据。








